| 亮抑酶酞 |
| Leupeptin hemisulfate salt |
| |
| CAS号: |
103476-89-7 |
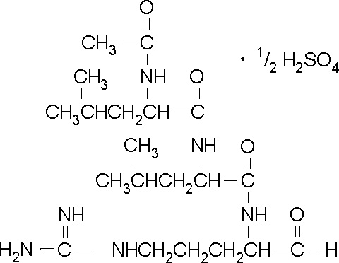
| 分子式: |
C20H38N6O4·1/2(H2SO4) |
| 分子量: |
475.59 |
| MDL: |
MFCD00037012 |
| 别名: |
亮抑酶酞 ;亮抑酶肽, 亮肽素 |
|
|
| 试剂货号 |
试剂名称 |
规格 |
包装 |
单价(RMB) |
购买数量 |
购买 |
备注 |
| M010312 |
亮抑酶酞 |
≥90%(HPLC) |
1mg |
315.00 |
|
 |
|
| M054012 |
亮抑酶酞 |
≥90%(HPLC) |
5mg |
1130.00 |
|
 |
|
白色或类白色粉末
溶解性: 溶于水
Analysis Note Leupeptin gives multiple peaks on HPLC due to equilibria among three
forms in solution. Purity determined using three main peaks. Majority of contaminating
peptide is racemized leupeptin.
Biochem/physiol Actions Inhibitor of serine and cysteine proteases. Inhibits plasmin,
trypsin, papain and cathepsin B. No inhibition found with pepsin, cathepsins A and D,
thrombin, or α-chymotrypsin. Effective concentration 10-100 μM.
Enhanced Quality Profile The Enhanced Quality Profile characterizes an individual
product's quality traits in a multilevel system to assure that a given product meets the
quality requirements of our customers.
|
|
biological source microbial
assay ≥90% (HPLC) |
|
|