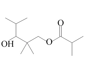
| 醇酯-12 |
| 2,2,4-Trimethyl-1,3-pentanediolmono(2-methylpropanoate) |
| |
| CAS号: |
25265-77-4 |
| 分子式: |
C12H24O3 |
| 分子量: |
216.32 |
| MDL: |
MFCD00148967 |
| EINECS: |
246-771-9 |
| 别名: |
三甲基羟戊醇异丁酸酯
2,2,4-三甲基-1,3-戊二醇单异丁酸酯
12-酯醇,醇酯-12,成膜助剂 |
|
|
| 试剂货号 |
试剂名称 |
规格 |
包装 |
单价(RMB) |
购买数量 |
购买 |
备注 |
| M007773 |
醇酯-12 |
97% |
100ml |
40.00 |
|
 |
|
| M007774 |
醇酯-12 |
97% |
500ml |
65.00 |
|
 |
|
| M007775 |
醇酯-12 |
97% |
1L |
108.00 |
|
 |
|
熔点 -50°C
沸点 244 °C
密度 0.95
折射率 1.44-1.442
闪点 244°C
|
|
质量指标 物性数据
含量,wt% ≥97 沸点,℃ 244
水分,wt% ≤0.3 熔点,℃ -50
色度,Pt-Co ≤30 闪点,℃ 120
酸度,KOH/g ≤2.0 密度,20℃/20℃ 0.95
皂化值,mg KOH/g 220-240 折光率,nD20 1.4423
|
|
|