麦卡希试剂首页   加入收藏
用户名: 密码: 免费注册 订购热线:028-85632863
试剂名称
CAS号
试剂货号
分子式
过氧化(2-乙基己酸)叔丁酯 三乙烯二胺 碲化钠 2-吲哚酮 3-异氰酸酯基丙基三甲氧基硅烷 富马酸一钠 DTBP 2-茚酮
购物车 0 件
我的订单    管理中心
    2026年02月08日 星期天
产品详情
试剂首页 > 产品中心 > 通用试剂 > 其它 > 聚醚硅油  
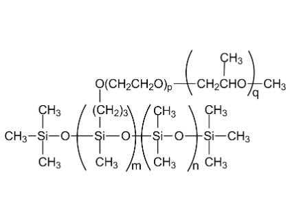
聚醚硅油
 
CAS号: 67762-85-0
聚醚硅油-CAS:67762-85-0
上一个:水溶性硅油
下一个:3-氟-4-哌啶酮盐酸盐
试剂货号 试剂名称 规格 包装 单价(RMB) 购买数量 购买 备注
M075215 聚醚硅油 粘度800-1200mPa.s 250g 298.00  
分享到:
  化学性质
外观:无色至淡琥珀色液体
  质量标准
粘度(25°C) 800-1200
密度(25*C)g/cm3  1.01-1.04g/cm3
浊点( 25*C1%水溶液)  36-44

  用途
有机硅表面助剂。通过降低涂料表面张力以提高底材的润湿性。增加表面滑爽及耐划伤性和防粘连性,改善流平、提高光泽度、防止贝纳德旋涡。
适用于溶剂型、无溶剂型及水性体系的涂料中添加。
  存储方式
密封保存于阴凉、干燥处。使用期限三年
相关产品
 
碱性木素 聚普锌杂质9 2-(2-氟-[1,1'-联苯]-4-基)丙酸 氨基-双(一聚乙二醇-叠氮) 4-(溴甲基)苯并[d][1,3]二氧化
钙色素 OP-10乳化剂 1,3-二碘-5,5-二甲基海因 N,N-二甲基-2氨基-5溴苯甲酰 6-甲基屈
(9R,10S,13S,14R,17S)-10 松香 S-乙酰基-L-谷胱甘肽 (2-((2,5-二氧代吡咯烷-1-基)氧 聚氨酯预聚体
最新产品推荐
更多试剂>>    
(R)-4-(二苯基甲基)-2-噁唑烷 1-(二氟甲氧基)-4-碘苯 3-二氟甲基溴苯 黄体酮 (杂质32) 2,5-二氧代吡咯烷-1-基(R)-4-
16,17-环氧黄体酮 双环[1.1.1]戊烷-1-羧酸 3-(2-(2-(甲基氨基)乙氧基)乙氧 5,8,11,14-四氧基-2-氮杂十七烷 4-氨基-1-((2R,3R,4S,5R)-
(2R,3R,4R,5R)-2-((双(4-甲 2,2-二溴-1-(4-溴苯基)乙酮 碳酸钕水合物 3,4,5-三苄氧基苯甲酸 2-氨基-5-甲酰基噻唑盐酸盐

本网站所有产品仅用于工业应用或者科学研究等非医疗目的,不可用于人类或动物的临床诊断或治疗,非药用,非食用。

Copyright © 2012-2025 成都麦卡希化工有限公司 www.micxy.com 麦卡希试剂网版权所有 
电话:028-85632863 18108198598 18180777571 传真:028-85632863  地址:四川省成都市双流区珠江路600号

蜀ICP备12005092号-1   川公网安备 51012202000114号  营业执照  危化许可证

工作时间
9:00 - 18:00
在线客服
点击这里给我发消息
点击这里给我发消息
点击这里给我发消息
微信订购
电话
028-85632863
18108198598
18180777571
订购邮箱
sales@micxy.com
×关闭