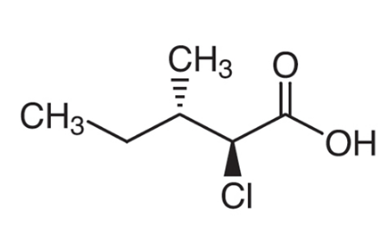
| (2S,3S)-2-氯-3-甲基戊酸 |
| (2S,3S)-2-Chloro-3-methylvaleric Acid |
| |
| CAS号: |
32653-34-2 |
| 分子式: |
C6H11ClO2 |
| 分子量: |
150.60 |
| MDL: |
MFCD00191403 |
| 别名: |
(2S,3s)-2-氯-3-甲基-n-戊酸 |
|
|
| 试剂货号 |
试剂名称 |
规格 |
包装 |
单价(RMB) |
购买数量 |
购买 |
备注 |
| M070022 |
(2S,3S)-2-氯-3-甲基戊酸 |
>95.0%(GC) |
1g |
555.00 |
|
 |
进口 |
| M070023 |
(2S,3S)-2-氯-3-甲基戊酸 |
>95.0%(GC) |
5g |
1770.00 |
|
 |
|
| 密度:1.121g/cm3 沸点:228ºC at 760mmHg 闪点:91.7ºC |
|
|