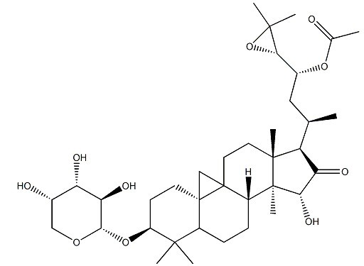
| 乙酰升麻新醇-3-O-Α-L-阿拉伯糖苷 |
| AcetylciMigenol-3-O-α-L-arabinopyranside |
| |
| CAS号: |
402513-88-6 |
| 分子式: |
C37H58O10 |
| 分子量: |
662.85042 |
| 别名: |
乙酰升麻新醇-3-O-Α-L-阿拉伯糖苷;乙酰升麻醇-3-O-Α-L-阿拉伯糖苷;(3BETA,15ALPHA,23R,24S)-23-(乙酰氧基)-3-(ALPHA-L-阿拉伯吡喃糖基氧基)-24,25-环氧-15-羟基-9,19-环羊毛甾烷-16-酮 |
|
|
| 试剂货号 |
试剂名称 |
规格 |
包装 |
单价(RMB) |
购买数量 |
购买 |
备注 |
| M043628 |
乙酰升麻新醇-3-O-Α-L-阿拉伯糖苷 |
HPLC≥98% |
20mg/支 |
1565.00 |
|
 |
|
|