麦卡希试剂首页   加入收藏
用户名: 密码: 免费注册 订购热线:028-85632863
试剂名称
CAS号
试剂货号
分子式
过氧化(2-乙基己酸)叔丁酯 三乙烯二胺 碲化钠 2-吲哚酮 3-异氰酸酯基丙基三甲氧基硅烷 富马酸一钠 DTBP 2-茚酮
购物车 0 件
我的订单    管理中心
    2026年02月07日 星期六
产品详情
试剂首页 > 产品中心 > 医药中间体 > 2-(乙酰氨基)-2-脱氧-4-O-(4-脱氧-ALPHA-L-苏式-己-4-烯吡喃糖基)-D-葡萄糖 6-(硫酸氢酯)二钠盐  
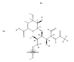
2-(乙酰氨基)-2-脱氧-4-O-(4-脱氧-ALPHA-L-苏式-己-4-烯吡喃糖基)-D-葡萄糖 6-(硫酸氢酯)二钠盐
heparin disaccharide II-A, sodium salt
 
CAS号: 136098-06-1
分子式: C14H21NNa2O14S**
分子量: 505.35938
2-(乙酰氨基)-2-脱氧-4-O-(4-脱氧-ALPHA-L-苏式-己-4-烯吡喃糖基)-D-葡萄糖 6-(硫酸氢酯)二钠盐-CAS:136098-06-1
上一个:1,2-双(4-乙氧基苯基)-1,2-乙二酮
下一个:软骨素二糖 Δdi-4S 钠盐
试剂货号 试剂名称 规格 包装 单价(RMB) 购买数量 购买 备注
M107390 2-(乙酰氨基)-2-脱氧-4-O-(4-脱氧-ALPHA-L-苏式-己-4-烯吡喃糖基)-D-葡萄糖 6-(硫酸氢酯)二钠盐 对照品 100mg 0.00 询价
分享到:
  存储方式
密封保存。
相关产品
 
壳聚糖酶 来源于灰色链霉菌 2-(乙酰氨基)-2-脱氧-4-O-(4- 软骨素二糖 Δdi-4S 钠盐 软骨素二糖δdi-0S钠盐 软骨素酶B 来源于肝素黄杆菌
软骨素酶AC 软骨素酶 ABC 来源于普通变 N-((1R,2R)-2-氨基-1,2-二苯 N-[(1S,2S)-2-氨基-1,2-双( N-((1R,2R)-2-氨基-1,2-双(
N-[(1S,2S)-2-氨基-1,2-二苯 1S,2S-N,N’-双(对甲苯磺酰 1R,2R-N,N’-双(对甲苯磺酰 N,N'-[(1S,2S)-1,2-二苯基 N,N'-[(1R,2R)-1,2-二苯基
最新产品推荐
更多试剂>>    
(R)-4-(二苯基甲基)-2-噁唑烷 1-(二氟甲氧基)-4-碘苯 3-二氟甲基溴苯 黄体酮 (杂质32) 2,5-二氧代吡咯烷-1-基(R)-4-
16,17-环氧黄体酮 双环[1.1.1]戊烷-1-羧酸 3-(2-(2-(甲基氨基)乙氧基)乙氧 5,8,11,14-四氧基-2-氮杂十七烷 4-氨基-1-((2R,3R,4S,5R)-
(2R,3R,4R,5R)-2-((双(4-甲 2,2-二溴-1-(4-溴苯基)乙酮 碳酸钕水合物 3,4,5-三苄氧基苯甲酸 2-氨基-5-甲酰基噻唑盐酸盐

本网站所有产品仅用于工业应用或者科学研究等非医疗目的,不可用于人类或动物的临床诊断或治疗,非药用,非食用。

Copyright © 2012-2025 成都麦卡希化工有限公司 www.micxy.com 麦卡希试剂网版权所有 
电话:028-85632863 18108198598 18180777571 传真:028-85632863  地址:四川省成都市双流区珠江路600号

蜀ICP备12005092号-1   川公网安备 51012202000114号  营业执照  危化许可证

工作时间
9:00 - 18:00
在线客服
点击这里给我发消息
点击这里给我发消息
点击这里给我发消息
微信订购
电话
028-85632863
18108198598
18180777571
订购邮箱
sales@micxy.com
×关闭