麦卡希试剂首页   加入收藏
用户名: 密码: 免费注册 订购热线:028-85632863
试剂名称
CAS号
试剂货号
分子式
过氧化(2-乙基己酸)叔丁酯 三乙烯二胺 碲化钠 2-吲哚酮 3-异氰酸酯基丙基三甲氧基硅烷 富马酸一钠 DTBP 2-茚酮
购物车 0 件
我的订单    管理中心
    2026年02月13日 星期五
产品详情
试剂首页 > 产品中心 > 通用试剂 > 其它 > 加尔万氧基 自由基  
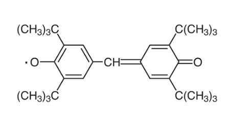
加尔万氧基 自由基
Galvinoxyl Free Radical
 
CAS号: 2370-18-5
分子式: C29H41O2
分子量: 421.65
MDL: MFCD00001616
EINECS: 219-133-2
别名: 2,6-二叔丁基-(3,5-二叔丁基-4-氧代-2,5-环己二烯)-对甲苯氧 自由基
2,6-二叔丁基-(3,5-二叔丁基-4-氧代-2,5-环己二烯)-对甲苯氧 自由基;
2,6-二叔丁基-ALPHA-(3,5-叔丁基-4-氧-2,5-环己二烯亚基)-对苯基氧基;
2,6-二叔丁基-(3,5-二叔丁基-4-氧代-2,5-环己二烯)-对甲苯氧自由基;
2,6-二叔丁基-α-(3,5-二叔丁基-4-氧-2,5-环己二烯亚基)-对甲苯氧基
加尔万氧基 自由基-CAS:2370-18-5
上一个:7-(二甲基氨基)-4-三氟甲基香豆素
下一个:4-溴-2,3-二氯苯胺
试剂货号 试剂名称 规格 包装 单价(RMB) 购买数量 购买 备注
M063686 加尔万氧基 自由基 98% 250mg 235.00  
M063687 加尔万氧基 自由基   1g 410.00 进口
M063688 加尔万氧基 自由基   5g 1150.00 进口
分享到:
  化学性质
密度:1.012g/cm3 沸点:512.6ºC at 760mmHg 熔点:158-159ºC(lit.) 闪点:216.9ºC
  存储方式
密封保存。0-10°C
相关产品
 
碱性木素 聚普锌杂质9 2-(2-氟-[1,1'-联苯]-4-基)丙酸 氨基-双(一聚乙二醇-叠氮) 4-(溴甲基)苯并[d][1,3]二氧化
钙色素 OP-10乳化剂 1,3-二碘-5,5-二甲基海因 N,N-二甲基-2氨基-5溴苯甲酰 6-甲基屈
(9R,10S,13S,14R,17S)-10 松香 S-乙酰基-L-谷胱甘肽 (2-((2,5-二氧代吡咯烷-1-基)氧 聚氨酯预聚体
最新产品推荐
更多试剂>>    
4,5-二氟-2-硝基苯酚 3,5-二氟-2-硝基苯酚 ((氯二氟甲基)磺酰基)苯 2-氯-2,2-二氟苯乙酮 (R)-4-(二苯基甲基)-2-噁唑烷
1-(二氟甲氧基)-4-碘苯 3-二氟甲基溴苯 黄体酮 (杂质32) 2,5-二氧代吡咯烷-1-基(R)-4- 16,17-环氧黄体酮
双环[1.1.1]戊烷-1-羧酸 3-(2-(2-(甲基氨基)乙氧基)乙氧 5,8,11,14-四氧基-2-氮杂十七烷 4-氨基-1-((2R,3R,4S,5R)- (2R,3R,4R,5R)-2-((双(4-甲

本网站所有产品仅用于工业应用或者科学研究等非医疗目的,不可用于人类或动物的临床诊断或治疗,非药用,非食用。

Copyright © 2012-2025 成都麦卡希化工有限公司 www.micxy.com 麦卡希试剂网版权所有 
电话:028-85632863 18108198598 18180777571 传真:028-85632863  地址:四川省成都市双流区珠江路600号

蜀ICP备12005092号-1   川公网安备 51012202000114号  营业执照  危化许可证

工作时间
9:00 - 18:00
在线客服
点击这里给我发消息
点击这里给我发消息
点击这里给我发消息
微信订购
电话
028-85632863
18108198598
18180777571
订购邮箱
sales@micxy.com
×关闭