麦卡希试剂首页   加入收藏
用户名: 密码: 免费注册 订购热线:028-85632863
试剂名称
CAS号
试剂货号
分子式
N-羟甲基丙烯酰胺 3-吗啉丙磺酸 六氟磷酸锂 紫杉醇 过氧化(2-乙基己酸)叔丁酯 三乙烯二胺 碲化钠 2-吲哚酮
购物车 0 件
我的订单    管理中心
    2026年05月31日 星期天
产品详情
试剂首页 > 产品中心 > 标准品 > 中药标准品 > 常春藤皂苷元  
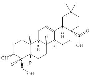
常春藤皂苷元
Hederagenin
 
CAS号: 465-99-6
分子式: C30H48O4
分子量: 472.70
EINECS: 207-369-9
别名: 常春藤皂苷元 ;常春藤皂甙元,(3beta,4alpha)-3,23-二羟基齐墩果-12-烯-28-酸
常春藤皂苷元-CAS:465-99-6
上一个:8-甲氧基补骨脂素
下一个:D-松醇
试剂货号 试剂名称 规格 包装 单价(RMB) 购买数量 购买 备注
M003144 常春藤皂苷元 HPLC≥98% 20mg 398.00  
分享到:
  质量标准
外观Appearance                                 White Powder
核磁Proton NMR spectrum                 Conforms to Structure
纯度Purity(HPLC)                               ≥98.0%
  用途
用于含量测定/鉴定/药理实验等。
  存储方式
密封保存。
相关产品
 
雪胆皂苷Ma3 竹节参皂苷IVa-6'-甲酯 雪胆皂苷H1 大麻酰胺F 地肤子皂苷IIa
四氢当药醇苷 咖啡酸4-O-葡萄糖苷 青阳参苷H 青阳参苷L 青阳参苷P
青阳参苷J Cynanotophylloside B 四氢雏菊叶龙胆酮 红白金花内酯 Gentiogenal
最新产品推荐
更多试剂>>    
N,N-二甲基-2-氨基吡啶-4-硼 改性聚醚 顺式二氨基四氯化铂(IV) 2,4-二氯-5-硝基三氟甲基苯 3-(三氟甲基)苯-1,2-二胺
三氟甲烷磺酸2-甲基-6-(三甲基 4-氰基苯基三氟甲烷磺酸盐 环庚-1-烯-1-基三氟甲磺酸酯 4-氯苯基三氟甲磺酸酯 4-溴-2-硝基三氟甲基苯
2-(叔丁基)苯基三氟甲磺酸盐 4-(叔丁基)苯基三氟甲磺酸酯 3-氯-4-硝基三氟甲苯 二丙二醇丙醚 2,5,8,11-二甲基-6-十二炔-5,8

本网站所有产品仅用于工业应用或者科学研究等非医疗目的,不可用于人类或动物的临床诊断或治疗,非药用,非食用。

Copyright © 2012-2026 成都麦卡希化工有限公司 www.micxy.com 麦卡希试剂网版权所有 
电话:028-85632863 18108198598 18180777571 传真:028-85632863  地址:四川省成都市双流区珠江路600号

蜀ICP备12005092号-1   川公网安备 51012202000114号  营业执照  危化许可证

工作时间
9:00 - 18:00
在线客服
点击这里给我发消息
点击这里给我发消息
点击这里给我发消息
微信订购
电话
028-85632863
18108198598
18180777571
订购邮箱
sales@micxy.com
×关闭